

現代的頻譜儀已經不僅是天真的勘測頻譜,借助于DSP技術,現代頻譜儀同時具有向量信號的解調與剖析功能,因為這個嚴明意義上應當稱為頻域與信號剖析儀,可以同時對信號施行頻域,時域和調制域的剖析。對于5G NR(New Radio)信號,調制域是剖析信號的關緊手眼,經過信號的解調剖析,可以判斷信號的準確與否以及信號品質的好壞。

圖1、現代頻譜與信號剖析儀結構
在3GPP的TS 38.141和TS 38.521協議中,對于基站和手機的調制域指標都有明確的規定。在這兩個協議中,調制域的指標有EVM(Error Vector Magnitude),頻率誤差(Frequency error),頻譜沒有凹凸度(spectrum flatness),這幾個指標都是經過對信號的解調剖析能力獲得,特別是頻率誤差和頻譜沒有凹凸度,很容易引動曲解,眾多人以為這兩個指標是經過勘測信號的頻譜施行頻域勘測取得,向量信號的頻譜本身就是不公平的,沒可能經過頻譜獲得信號的核心頻點和沒有凹凸度指標。其實頻域誤差是在信號解調過程中經過解調參照信號DMRS(Demodulation Reference Signal)還是循環前綴(Cyclic Prefix, CP)取得,而頻譜沒有凹凸都是解調過程中經過平衡系數(Equalizer coefficient)取得。
DMRS的關緊的效用就是相干解調(Coherence Demodulation),解調軟件經過DMRS信號施行信號的同步,頻率誤差估計,信道估計。對于5G NR的信號的解調,待測信號的參變量設置十分關緊,頻譜儀解調軟件正是經過設置的參變量生成本地DMRS信號,因此完成信號檢驗測定和解調。這些個參變量會影響解DMRS信號序列生成和時頻域散布,因為這個這些個信號參變量設置的準確與否直接表決理解調軟件能否生成與待測信號相般配的DMRS序列,只有準確獲得DMRS序列,能力準確完成信號解調,因此獲得準確的EVM指標,頻率誤差和頻譜沒有凹凸度指標。
與4G信號不一樣,5GNR信號為了支持eMBB(Enhance Mobile Broadband,加強型移動寬帶),uRLLC(Ultra Reliable & Low Latency Communication,低時延高靠得住通信)和mMTC(Massive Machine Type Communication,海量物聯網通信)三大場景,5G NR信號可以靈活多變,但也造成信號結構要復雜得多,信號解調剖析時參變量設置也要復雜得多,對于常常運用頻譜儀對5G NR信號施行解調剖析的開發測試擔任職務的人也提出了更高的要求,需求對5G NR信號有足夠的了解。
本文主要收拾了5G NR 信號解調剖析中關鍵參變量的設置,涵蓋這些個參變量在3GPP物理層協議中的定義,為何這些個參變量會影響解調,這些個參變量設置不符合理會顯露出來啥子異常最后結果等,因此幫忙儀表運用者了解3GPP協議,準確地對5G信號施行剖析,當測試顯露出來問題時,能迅速定位信號解調剖析中的問題。
總結概括起來,影響5G NR信號解調的主要參變量有以下參變量。
1、Cell
ID ![]()
PUSCH DMRS序列在Transform precoding on和off時刻運用的序列不同,不過該序列都有可能與Cell ID相關。以Transform precoding disabled時為例,在TS 38.2116.4.1.1章節定義其序列生成如下所述:

那里面c(i)的起初值如下所述:
![]()
在沒有higher-layer參變量指使的事情狀況下,那里面
。一般在非信令測試條件下,都滿意
。因為這個Cell
ID
設置錯誤會影響本地DMRS序列的生成,因此影響儀表信號的解調。當Cell
ID設置錯誤的時刻,信號解調有可能會顯露出來“Sync Not Found”的沒有辦法解調的提醒。
2、BW(Bandwidth)和RB(Resource Block)參變量
BW和RB的開始位置及RB個數會影響DMRS的頻域散布,同時依照38.211協議,DMRS序列的生成也與RB的個數相關,因為這個這兩個參變量設置不符合理有可能會造成儀表顯露出來“Sync Not Found”的沒有辦法解調的提醒。

圖2、儀表同步敗績不正確提醒
3、TransformPrecoding
與LTE信號不一樣,5G NR的上行信號同時支持CP-OFDM和SC-FDMA,是經過TransformPrecoding on和off參變量施行設置的。依據TS38.211協議6.4.1.2章節,在TransformPrecoding on和off下,DMRS序列生成公式是不一樣的,因為這個TransformPrecoding參變量設置不符合適也會引動信號同步敗績,顯露出來“Sync Not Found”的沒有辦法解調的提醒。
4、mapping type和dmrs-TypeA-Position
Mapping Type表決了第1個DMRS符號的位置l0。
1)對于mapping type A,DMRS符號的開始位置l0決定于于dmrs-TypeA-Position。dmrs-TypeA-Position的取值為pos2(表達第1個DMRS符號是符號2)還是pos3(表達DMRS符號是符號2)。
2)對于mapping type B,l0=0,表達第1個DMRS符號是符號0。
如圖3所示,可以直觀地看見在不一樣的mapping type下DMRS存在的地方的符號位置是不一樣的。

圖3、在不一樣mapping type下DMRS信號的頻域散布
當mapping type和dmrs-TypeA-Position設置與真實信號不完全一樣時,因為解調軟件預先期待的DMRS符號時域位置與真實信號不完全一樣,因此沒有辦法搜索到準確的幀頭,會顯露出來“Sync Not Found”的沒有辦法解調的提醒。圖4顯露了待測信號的mapping type是Type A,不過在解調時卻設置成了mapping type B,因此造成信號解調敗績。

圖4、mapping type參變量設置不符合適造成信號解調敗績
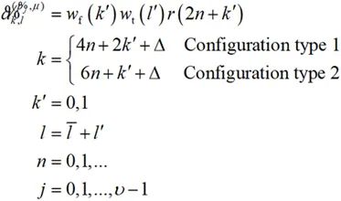
5、DMRS Configuration Type
DMRS config表決了DMRS在頻域的疏密程度,在38.211 6.4.1.1.3章節中就象下所述定義,從這個公式可以看出,對于DMRS configuration為Type 1時,在頻域每隔1個子載波散布著1個DMRS載波,每個RB具備6個DMRS子載波,而當DMRS configuration為Type 2時,每隔2個子載波散布著1個DMRS載波,每個RB具備4個DMRS子載波。圖5顯露了不一樣DMRS configuration DMRS RE在頻域的散布。


圖5、不一樣DMRS configuration時DMRS子載波的頻域散布
因為DMRS configuration type表決了DMRS載波的頻域散布,因為這個當DMRS configuration type參變量設置不符合理時,因為解調軟件預先期待的DMRS信號與待測信號的真實DMRS不完全一樣,會顯露出來信號同步敗績,如圖6所示,顯露出來“Sync Not Found”的沒有辦法解調的提醒。

圖6、DMRS configuration type設置不正確造成信號同步敗績
6、DM-RS duration
表1、TS 38.211 Table 6.4.1.1.3-5: PUSCH DM-RS time index l'.

TS 38.211 Table 6.4.1.1.3-5定義了DM-RS duration ,DM-RS duration表決了時域蟬聯DMRS符號的個數,如圖7所示。因為這個,當信號的DM-RS duration設置與真實信號不完全一樣時,也會造成信號同步敗績,顯露出來“Sync Not Found”的沒有辦法解調的提醒。

圖7、不一樣DM-RS duration時DMRS信號的時域散布
7、dmrs-AdditionalPosition
在協議TS38.211 中,Table 6.4.1.1.3-3和Table 6.4.1.1.3-4定義了不一樣dmrs-AdditionalPosition下DMRS信號的時域符號位置。將不一樣dmrs-AdditionalPosition下DMRS的時域符號散布直觀地顯露出來如圖8所示,由此可見,dmrs-AdditionalPosition會影響DMRS信號的時域散布,因為這個,當信號的dmrs-AdditionalPosition設置與真實信號不完全一樣時,有可能造成信號同步敗績,顯露出來“Sync Not Found”的沒有辦法解調的提醒,還是如圖9所示,同步成功,不過星座圖是亂的,由于解調軟件將一點數值RE(Resource element)誤判為DMRS還是將DMRS誤判為數值RE。
表2、PUSCH DM-RS positions within a slot for single-symbol DM-RS and intra-slot frequency hopping disabled.

表3、PUSCH DM-RS positions within a slot for double-symbol DM-RS and intra-slot frequency hopping disabled.


圖8、不一樣dmrs-AdditionalPosition時DMRS信號的時域散布

圖9、dmrs-AdditionalPosition設置不符合適造成信號解調敗績
8、Number of DMRS CDM groups without data

圖10、不一樣Number of DMRS CDM groups without data參變量下DMRS符號DMRS與數值復用
Number of DMRS CDM groups without data 參變量表決DMRS與Data是否在同一symbol內復用, 如圖10所示的DMRS符號(symbol#2)內,紅骰子載波代表DMRS,剩下的子載波位置既可以配備布置成送出藍色的Data,也可以配備布置成不送出不論什么數值的保存子載波,當Number of DMRS CDM groups without data為1的時刻,剩下RE被配備布置成數值RE,當Number of DMRS CDM groups without data為2的時刻,剩下RE不發不論什么數值。
因為這個在施行信號解調的時刻,Number of DMRS CDM groups without data設置不符合適會造成星座圖上顯露出來零點的星座點,如圖11所示,解調端誤覺得在那一些保存子載波的位置也是正常送出了調制數值的,但實際檢驗測定到的都是功率為0的星座點,造成在這些個RE上的EVM值頎長。此時需求準確設置Number of DMRS CDM groups without data,這么軟件就不會去打算解調那一些不送出不論什么數值的保存子載波,要得零點得以消弭,如圖12所示。

圖11、Number of DMRS CDM groups without data參變量設置錯誤造成星座圖顯露出來零點

圖12、Number of DMRS CDM groups without data參變量設置準確時的解調最后結果
9、Symbol Phase compensation

與4G不一樣,5G NR支持多種可變的載波帶寬以及載波內BWP的分配,因為這個收發兩端的核心頻點不完全一樣是一個十分典型的場景,如不施行合宜的相位償還會顯露出來收繳機沒有辦法準確解調信號的事情狀況。在TS 38.211 5.4章節Modulation and upconversion中定義了5G NR逐符號施行相位償還Symbol Phase compensation,況且是償還到特別指定的某個發射頻點(f0),這個償還需求在基帶信號中完成,用于解決發射端的核心頻點與收繳端的核心頻點不完全一樣而帶來的相位旋轉問題。
因為這個,在信號施行解調的時刻相位償還也要設置成與待測信號完全一樣,否則星座圖有可能會不整齊,顯露出來有規律的旋轉,EVM也很差,如圖13所示,它并不是絕對隨機性沒秩序的星座圖,而是閃現出有某種規律的圖樣。當相位償還設置準確的時刻,星座圖就還原正常。

圖13、Symbol Phase compensation參變量設置錯誤時的解調最后結果
10、小結
5G NR信號的參變量比較復雜,解調剖析需求準確設相信號參變量,假如參變量設置不符合適有可能會造成解調敗績還是EVM很差,測試者可以依據具表現出來象判斷有可能是哪一些端由造成解調敗績,迅速定位問題,各參變量設置不符合適造成的解調異常問題總結概括如表4所示。
